■ラリイ・ニーヴン『リングワールド』(1985年)■
■ドナルド・モフィット『第二創世記』■
■スティーヴン・バクスター『タイム・シップ』■

太陽エネルギーの大半は宇宙空間に捨てられている.
(地球が受け取る割合は,約20億分の1)
↓
太陽を(地球軌道の半径をもつ)球殻ですっぽり覆えば,
太陽エネルギーを漏れなく利用できるだろう.
(球殻内面の表面積も,地表面積の10億倍ある)
↑
このような高度宇宙文明の構造体を,
ダイソン球とか
ダイソン殻と呼ぶ.
(フリーマン・ダイソンが1960年に提案した)
ダイソン球の熱環境はどうなっているのだろうか?
■ダイソン球■
| 種類 | 長所 | 短所 | 使用例 | |
|---|---|---|---|---|
| オリジナルなダイソン球 | ![]() |
・球殻で取り囲むだけなので構造が簡単 ・木星を潰せば2〜3mの厚みの球殻ができる |
・強度が必要 ・球殻の内部では無重力 |
『タイム・シップ』あらゆる星がダイソン球で覆われ星空が消滅 |
| ベルト状のリングワールド | ![]() |
・リングの回転による遠心力で,疑似的な重力を発生できる | ・引っ張り強度が必要 ・力学的に不安定 |
『リングワールド』リングワールドが不安定になり危機が生じる |
| 軌道運動する無数のプラットフォーム | ![]() |
・プラットフォーム(コロニー)は少しずつ建設できる ・軌道運動させるので力学的に安定 |
・プラットフォームでは無重力 ・軌道が複雑 |
『第二創世記』軌道の隙間から中心星の光が漏れている |
| リングワールドの諸元 | |
|---|---|
| リングの幅 | 160万km |
| 側壁の高さ | 1600km |
| リングの半径 | 1天文単位 |
| リングの周囲 | 6.3天文単位 |
| リングの質量 | 太陽質量の1000分の1 |
| 表面重力 | 0.992G |
■宇宙文明の類別■
技術的に高度に発達した宇宙文明は,
その文明が消費するエネルギーの規模によって,
タイプIからタイプIIIまで類別できる.
(ニコライ・S・カルダシェフ 1964年)
| 文明の型 | 利用するエネルギーの規模 | エネルギー消費率 |
|---|---|---|
| タイプI | 惑星規模のエネルギー | 4×1012 J/秒 |
| タイプII | 恒星規模のエネルギー | 4×1026 J/秒 |
| タイプIII | 銀河規模のエネルギー | 2.4×1037 J/秒 |

■ダイソン球の熱収支■
太陽のエネルギー放射に晒された物体(惑星や宇宙船)の平衡温度は,
太陽放射の吸収による加熱と物体からの熱放射による放熱の釣り合いで決まる.
| 惑星の表面温度 | |||
|---|---|---|---|
| 惑星 | 軌道半径 | 表面温度 | 観測値 |
| 水星 | 0.387AU | 465K (190℃) | -160℃〜350℃ |
| 金星 | 0.723AU | 340K (67℃) | 470℃ |
| 地球 | 1.000AU | 289K (16℃) | |
| 火星 | 1.524AU | 234K (-39℃) | -100℃〜10℃ |
| 木星 | 5.203AU | 126K (-147℃) | -139℃(表層) |
| 土星 | 9.555AU | 94K (-179℃) | -276℃(表層) |
| 天王星 | 19.22AU | 66K (-207℃) | -220℃ |
| 海王星 | 30.11AU | 55K (-220℃) | -173℃ |
| 冥王星 | 39.54AU | 46K (-227℃) | -230℃ |
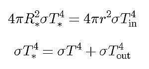
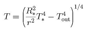
ダイソン球の場合
R*:太陽の半径
T*:太陽の表面温度
r:ダイソン球の半径
T:ダイソン球の表面温度
σ:ステファン・ボルツマンの定数

エネルギー保存の法則

上の式からTinを消去する.

太陽の半径R*と表面温度T*は決まっているので,
外殻の温度Toutをパラメータとして,
ダイソン球の半径rの関数として表面温度Tが求まる.
具体的には
R*=70万km
T*=6000K
Tout=0,100, 200,300K
ダイソン球では入射面と放射面の面積が等しいので,
(入射断面積より放射表面積が4倍広い)惑星よりも,
表面温度が少し高め(2倍)になる.
そのため,外殻から熱を逃がしても,
地球軌道では居住温度としては高すぎる.
最適な半径は1.8天文単位ぐらい.

メニューへもどる
天文学研究室へもどる